日前,在濟南市教育局舉辦的第三屆中小學德育品牌推介會上,濟南三中“春天送你一首詩,詩意校園育真知”德育項目獲得“中小學德育品牌”榮譽稱號,這已經是學校第三次獲此殊榮。一直以來,濟南三中始終落實立德樹人根本任務,不斷加強學校德育課程一體化建設,立足品格教育根基,積極探索德育實施路徑,推動德育工作向高水平、品牌化、特色化發展。
今年正值中國共產黨建黨100周年,為傳承紅色基因,唱響紅色旋律,學校開展系列德育主題活動,展現新時代青少年學生昂揚向上的精神風貌。即日起,濟南三中將以“紅色基因,家國情懷”為主題,陸續推出“唱響紅色旋律,展現青春風采”校園文化藝術節、“請黨放心、強國有我”主題演講、“紅色信念,燈塔領航”主題文化創意展、“愛國愛黨愛校”家國情懷主題班會展等板塊,帶您了解“藏龍臥虎”的濟南三中。
國慶節后,濟南三中校園里就到處洋溢著智慧、青春和激情,原來是2021校園文化藝術節正在精彩上演。
合唱、聲樂、器樂、舞蹈、朗誦、書法、繪畫、演講……豐富多彩的節目和精湛的表演為師生們帶來了一場饕餮盛宴,讓人盡情享受,意猶未盡。
據了解,本屆校園文化藝術節真正做到了以學生為主體,班班有方案、人人都參與。借助藝術節,給學生們提供了一個施展才華、張揚個性的舞臺,一個個才華橫溢的同學脫穎而出,一展美術實力,在舞動青春的舞臺上,與美同行,與國同行。
本屆校園藝術節,率先開展的是美術類作品。在歷時近一個月的美術類別活動中,同學們提交的作品豐富多彩,涵蓋了繪畫、書法、傳統手工藝等多種形式,既聚焦主題,又風格多樣,佳作輩出、異彩紛呈。經美術組全體教師共同評審,評選出了一、二、三等獎作品。
近年來,濟南三中堅持把美育納入學校人才培養全過程,以美育人、以美化人,以美涵養三中精神,以美引領學生樹立正確的歷史觀、民族觀、文化觀,引領學生“感黨恩、聽黨話、跟黨走”。學校老師力爭讓每一個學生都能在日常教學和校本課程中,參與、浸潤審美情趣,提高藝術素養,陶冶高尚情操,塑造美好心靈。
版畫類
版畫作品人物質感細膩,小藝術家們刻畫的毛澤東主席、魯迅先生、雷鋒同志,造型生動傳神。



繪畫類
水墨丹青,栩栩如生。尺幅之間,對偉大領袖的愛戴之情躍于紙上;傾心素描,紅船與黨徽一起熠熠生輝。





剪紙類



剪紙作為一種鏤空藝術,其獨特的刀味、紙感、線條與裝飾, 在視覺上給人以透空的感覺和藝術享受。同學們用這一傳統工藝,表達了對中國共產黨成立100周年的熱烈祝賀,體現了對黨的真摯感情。
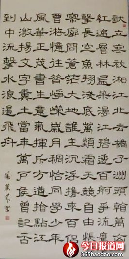
書法類
書法作品文以載道,藝文雙修。隸書、楷書、行書,手法不同,但都體現了作者的傳統文化素養和藝術功底,展示了同學們的家國情懷。



(江嬌 祁帥 文江芳)

山東省文促會與旅促會聯合舉辦“泰山文
粗心學員丟失錢包 車管輔警完璧歸趙
臨沂交警走進軍部街小學傳播文明交通話
院長法治公開課 法治教育“零距離”
寒冬送溫暖 愛心進校園
盆栽蔬菜成“綠礦”,新消費需求“新鮮
炫炫咱老師 | 我可愛的“上司”——劉
習近平同俄羅斯總統普京舉行視頻會晤
怎樣深入推進我國宗教中國化?習近平這
“大觀杯”攝影比賽發獎儀式暨攝影作品
重慶:老舊社區變身網紅文創新地標
國慶佳節,他們堅守戰位
多彩花燈迎中秋
福建獨有,全國罕見!福州夜航龍舟火了
安心!暖心!應對突發情況,山東交警隨
周恩來巧贈外賓“蘑菇云”照片當國禮
為實現民族復興接續奮斗——寫在辛亥革
揭秘“水稻瘋子”汪寶增雜交培育的真真
26歲獨臂博士火了!“人生總有人要贏,